Najnovije vijesti
Objavljeno vijesti danas: 61
Pošalji priču
Imaš priču, fotografiju ili video?
TRGOVINSKI KAOS

Ova jednadžba uznemirila je cijeli svijet: Trumpova administracija otkrila formulu za carine

Foto: Ured Bijele kuće/Pixsell
1/6
04.04.2025.
u 10:24

U suštini, izračun carinskih stopa temelji se na ideji da bi povećanje carina smanjilo uvoz, čime bi se postigla ravnoteža u trgovini. Za svaku zemlju, carinska stopa se računa tako da se trgovinski deficit podijeli s ukupnim izvozom te zemlje prema SAD-u.

Najnovije carine koje je Trumpova administracija uvela izazvale su veliki potres na svjetskim tržištima, uzrokujući pad burzi i prijetnju gospodarskog kolapsa. Kako smo jučer smo pisali u novom razvoju događaja oko kontroverznih carinskih mjera Trumpove administarcije novinar i ekonomski analitičar James Surowiecki prozvao je Bijelu kuću zbog načina na koji su izračunali te "recipročne" carine, nazivajući njihovu metodu "izvanrednom besmislom". Surowiecki je istaknuo da carine nisu temeljene na stvarnim carinskim stopama drugih zemalja, već na trgovinskom deficitu SAD-a, što je izazvalo nevjericu među stručnjacima.

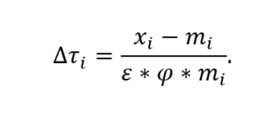
Na službenim stranicama Bijele kuće objavljena je formula kojom su izračunate ove "recipročne" carine. Prema tom objašnjenju, carine se računaju kako bi se izjednačili trgovinski deficiti između SAD-a i drugih zemalja. Umjesto da gledaju stvarne carine koje druge zemlje naplaćuju na američku robu (kao što su obećali), oni su uzeli trgovinski deficit – razliku između uvoza i izvoza – i na temelju toga odredili stope. Evo kako to radi na primjeru:

Foto: Ured Bijele kuće

Uzmu podatke o trgovini: Gledaju koliko SAD uvozi iz neke zemlje i koliko izvozi u nju (podaci su za 2024. iz američkog Popisa stanovništva).

Izračunaju deficit: Oduzmu izvoz od uvoza. Na primjer, ako Indonezija izveze u SAD robu vrijednu 28 milijardi dolara, a SAD u Indoneziju samo 10 milijardi, deficit je 18 milijardi.

Podijele deficit s uvozom: 18 milijardi podijele s 28 milijardi (ukupni indonezijski izvoz u SAD), što daje oko 64%. To su proglasili "carinskom stopom" koju Indonezija "naplaćuje" SAD-u, iako to nije stvarna carina.

Dodaju formulu za smanjenje uvoza: Kažu da carine smanjuju uvoz jer povećavaju cijene, a koriste neke ekonomske parametre (elastičnost cijena i sl.) da to opravdaju. Te brojke su postavili tako da se međusobno poništavaju, pa na kraju formula ostaje prilično jednostavna.

Cilj je nula deficita: Carina se postavlja na razinu koja bi teoretski uklonila deficit, tj. smanjila uvoz dok se ne izjednači s izvozom.

U suštini, izračun carinskih stopa temelji se na ideji da bi povećanje carina smanjilo uvoz, čime bi se postigla ravnoteža u trgovini. Za svaku zemlju, carinska stopa se računa tako da se trgovinski deficit podijeli s ukupnim izvozom te zemlje prema SAD-u. Na temelju tog izračuna, Trumpova administracija postavlja carinsku stopu koja, u teoriji, treba smanjiti trgovinski deficit do nule.

U praksi, ovi izračuni koriste podatke o trgovinskom deficitu i izvozu za 2024. godinu, kao i određene ekonomske parametre kao što su elastičnost uvoza prema cijenama i prijenos carinskih troškova na cijene proizvoda. Formula koju su koristili u Bijeloj kući također uzima u obzir utjecaj različitih ekonomskih politika, uključujući valutne manipulacije i regulatorne barijere koje mogu iskriviti trgovinsku ravnotežu. Na temelju tih parametara, carine su postavljene u rasponu od 0% do 99%, a prosječna stopa među zemljama s trgovinskim deficitima iznosi 50%.

Bijela kuća tvrdi da trgovinski deficit pokazuje kako druge zemlje "nepošteno" postupaju prema SAD-u – preko carina, regulacija ili manipulacija valutama. Ali umjesto da stvarno istraže te stvari (što je komplicirano), samo su uzeli deficit kao dokaz i na temelju njega odredili carine. Na primjer, Kina je dobila 34%, EU 20%, a neke zemlje čak do 99%, ovisno o njihovom deficitu s SAD-om. Prosječna stopa je oko 41% kad se uzme u obzir količina uvoza.

Surowiecki i drugi stručnjaci kažu da ovo nema veze s pravim reciprocitetom – carine nisu zrcalo onoga što druge zemlje naplaćuju SAD-u (npr. Kina ima prosječnu carinu od 7,3%, a ne 68% kako su izračunali). Plus, ignoriraju usluge, gdje SAD zarađuje puno novca, i fokusiraju se samo na robu. Zato mnogi misle da je ovo više potez za zaštitu američke industrije nego poštena trgovinska politika.


>>> FOTO Trump mrtav ozbiljan uvodi carine, ostatak svijeta mu se smije, pogledajte najbolje memove na njegov račun

1/25
Ključne riječi

Komentara 1

Avatar Cera
Cera
22:45 04.04.2025.

pa do sada je roba bila jeftinija iz Amerike ali kad te pošta odere kao da ide od Neptuna, pa onda naši kad ocarine i bilo je 3x skuplje nego naša roba. Tramp je vratio istu mjeru svima i sad Brrrisel kuka... Nek si izvezu Voke ideologiju kod njega sad ako mogu!

Važna obavijest
Sukladno članku 94. Zakona o elektroničkim medijima, komentiranje članaka na web portalu i mobilnim aplikacijama Vecernji.hr dopušteno je samo registriranim korisnicima. Svaki korisnik koji želi komentirati članke obvezan je prethodno se upoznati s Pravilima komentiranja na web portalu i mobilnim aplikacijama Vecernji.hr te sa zabranama propisanim stavkom 2. članka 94. Zakona.

Za komentiranje je potrebna prijava/registracija. Ako nemate korisnički račun, izaberite jedan od dva ponuđena načina i registrirajte se u par brzih koraka.

Želite prijaviti greške?

Još iz kategorije

Kupnja

Pretplata